数値解析法及び演習 第十回

乱数とランダムウォーク
  1. 乱数の発生法
  2. ランダムウォーク
  3. 今日の宿題

[1]乱数の発生法

数値実験を行うと乱数が必要になる場合がある.コンピュータで乱数を発生させる方法はいくつかあって,それについて学ぶ.なお,コンピュータで発生できるのは「真の」乱数ではなく疑似乱数である.

混合合同法

これは,


\begin{displaymath}
x_{n+1}=ax_n+b \quad {\rm mod}\,\mu
\end{displaymath} (1)

によって順次乱数を発生させるものである.右辺で計算した値をμで割り,その余りを左辺に代入する.

練習問題1

3ビットの整数において乱数列を発生させ,その周期についてしらべてみよ. x1=1とし,μ=4とせよ.a=3,b=1, a=2,b=1, a=1,b=3の場合についてしらべよ.

32ビット整数(我々が使っているinteger)では,混合合同法をもちいると
   implicit none
   integer i,j
   double precision ran
   
   do j = 1, 100
       i=843314861*i+453816693

      if(i.lt.0) i=(I+2147483647)+1
      ran=dfloat(i)*4.656612873D-10
     write(*,*) j,ran
    enddo
	
	end

をつかうことで[0,1)に規格化された乱数をつくることができる.

練習問題2

  1. 上のアルゴリズムを用いて乱数を発生させ,平均値,標準偏差を求めよ.乱数を発生させる回数を10, 100, 1000, 10000, 100000, 1000000と変化させてみよ.真の値(平均値=1/2, 標準偏差=1/(12)**0.5)にどう近づくか?

[2]ランダムウォーク

一辺が長さ1.D0の正方形からできている碁盤の目を考える.原点(0,0)にn個の球が置いてある.乱数を発生させ,上下左右に存在する隣の格子点にそれぞれ確率1/4で移動する.n回乱数を発生させ,n個全ての球を一回移動させると1ステップが終了する.

parameter文の利用

このプログラムを作成しようとすると,球の数nの大きさの配列を複数用意する必要がある.たとえばi番目の球のx座標,y座標.100個の場合なら

	double precision x(100),y(100)
	
などとと記述する.さらに,それぞれの球の原点からの距離もあったら dis(100) などが追加される. 同じ数字を何回も書くのは面倒であり,配列のサイズを変化させる場合に書き間違いが起こる.そこでparamtere文を用いる.parameter文は,ある文字列をその数字として読み替える,ということを行う.つまりプログラム中でその文字列が登場すると,parameter文で定義された数値にコンパイル時におきかわる.注意点は,parameter文で定義された変数は,プログラム中で別の値を代入はできない.ということである.

例:
      integer n
      parameter (n=1000)
      double precision x(n),y(n)

練習問題3

n個の球がランダムウォークするプログラムを作成せよ.始めはすべて原点に球は存在する.確率 1/4 = 0.25D0 で上下左右に1.D0だけ移動する.まずはn=10でプログラムを実行する.10000ステップ計算を実行すること.

注意点

n個のx座標,y座標をファイルに書き出したら,その次には空白行を入れておくこと.

例:
   do i=1,n
     write(1,*) x(i),y(i)
   enddo
     write(1,*)  ! 空白行

課題1

アニメーションを観察する.以下のテキストをanim.txtで保存する.
  set xrange [-100:100]
  set yrange [-100:100]

  if (n>1000) exit

  plot "ファイル名" every 1:1::n::n with points pt 7 ps 2

  pause 0.05

  n=n+1

  reread
gnuplot上で
gnuplot> n=1
gnuplot> load 'anim.txt'
とすることでアニメーションを観察すること.

課題2

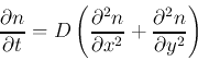
球は原点からじょじょに遠ざかる.つまり,「拡散」する.格子上ではなくて連続空間を考えると,単位面積あたりに存在する球の数nは,次の拡散方程式に従って変化する.


\begin{displaymath}
{\partial n\over \partial t}=D\left({\partial^2n\over \partial x^2} +
{\partial^2n\over \partial y^2}\right)
\end{displaymath} (2)

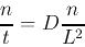
拡散方程式は偏微分方程式であるが,微分を無理矢理割り算で置き換えると


\begin{displaymath}
{n\over t}=4D{n\over L^2}
\end{displaymath} (4)

と書くことができる.ここでLは球が存在している範囲の距離である.これをtについて解くと


\begin{displaymath}
t={L^2\over 4D}
\end{displaymath} (5)

となり,拡散した距離Lは時間の平方根に比例することがわかる.つまり,等速で運動するよりもはるかに遅い.


今日の宿題 (12/25日まで)

課題2のプログラム,および時刻ー平均距離のデータファイルを送付すること.


[6] 追加の宿題 (12/25日まで)

上下よりも左右に移動する確率が大きい場合を考える.右と左に移動する確率がそれぞれ1/3, 上と下に移動する確率がそれぞれ1/6の場合について計算を行う.n=10の場合について計算し,アニメを観察せよ.

n=1000にして計算を行う.x座標の絶対値の平均値と,y座標の絶対値の平均値をそれぞれ各時刻で算出し,横軸が時刻,縦軸がそれぞれの平均値でグラフを作成する.当然,x座標の平均値の方が大きくなる.

x座標の絶対値の平均値と,y座標の絶対値の平均値を同じにするためには,y方向の1ステップでの移動量をもともとの値である1.D0から何倍させればよいか.プログラムと,増加させたあとのy方向の移動量の数値を送ること.




日程表へ戻る <<