数値解析法及び演習 第九回

常微分方程式
  1. 関数副プログラム
  2. Δtの二次の精度
  3. ルンゲクッタ法
  4. 連立1階微分方程式
  5. gnuplotでアニメ
  6. 今日の宿題

[1] 関数副プログラム

フォートランにはデフォルトでいくつかの関数が用意されているが,ユーザー が独自に関数を定義して用いたい場合は「関数副プログラム」というものをつかって関数を定義することが出来る.使い方は


t function f(a1,a2,....aN)
......
f=.....
return
end
function文 f=.... (ここでf(n)といったカッコはつけない.fのみ) 関数副プログラムの定義をおこなう
t 型宣言:double precision, integerなど
a1,a2,...aN 仮引数:型宣言をすること.ここでもカッコはいらない
プログラム中で用いる時は,

b=f(c1,c2,....cn)
のように引数を代入して行う.ここは引数を代入するのでカッコが必要

たとえば, 1からnまでの総和を求める関数副プログラムは

      integer function souwa(n) ! ここは(n)が必要
      implicit none
      integer i,n

      souwa=0
      do i=1,n
      souwa=souwa+i   ! ここでは(n)は不要
      enddo
      return
      end

      implicit none
      integer souwa,n  ! ここは(n)は不要
      read(*,*) n
      write(*,*) souwa(n)  ! ここは(n)が必要
      end

注意点

練習問題1

n!を計算する関数副プログラム fact(n)を作成せよ.


[2]常微分方程式その2 「Δtの二次の精度」

オイラー法における誤差はΔtに比例する(1ステップの誤差はΔtの二乗に比例するため:これはなぜか?).すなわち誤差を10分の1にしたければΔtを1/10にする必要がある.これは計算にかかる時間が10倍になることを意味する.これでは時間がかかってしょうがない.そこでΔtの2乗,4乗に誤差が比例するようなアルゴリズムが存在する.4乗に比例するものはルンゲクッタ法と呼ばれ広く用いられている.

ルンゲクッタ法に入る前に誤差がΔtの2乗に比例するアルゴリズムについて考えてみよう.


\begin{displaymath}
{dy\over dt}=f(t,y)
\end{displaymath} (1)


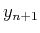
という微分方程式が与えられたものとする.タイムステップがΔtのとき,n+1ステップ目のyの値yn+1は,ynを用いて

\begin{displaymath}
y_{n+1}=y_n+\Delta t y_n'+{1\over 2}\Delta t^2 y_n''
\end{displaymath} (2)

と書くことができる.ここでy''は二次の微係数で


\begin{displaymath}
y''={\partial f\over \partial t}+{\partial f\over \partial y}{dy\over dt}
=f_t+f_yf
\end{displaymath} (3)

となる.2項出てくることに注意.これを用いると先ほどの式は


\begin{displaymath}
y_{n+1}=y_n+\Delta t f++{1\over 2}\Delta t^2 (f_t+f_yf)
\end{displaymath} (4)

のようにかきかえられる.ここでポイントは,我々はft,fyを知らないと言うことである.なので別の式でさらに書き替えないといけない.そのため式(8)が,以下のように書けるものと仮定する.


\begin{displaymath}
y_{n+1}=y_n+\lambda_1f_1+\lambda_2f_2
\end{displaymath} (5)

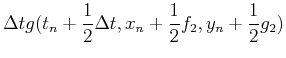
ここでf1,f2は


$\displaystyle f_1$ $\textstyle =$ $\displaystyle \Delta t f(t_n,y_n)$ (6)
$\displaystyle f_2$ $\textstyle =$ $\displaystyle \Delta t f(t_n+\alpha\Delta t,y_n+\beta f_1)$ (7)

である.f2の中身に注意.f1,f2はそれぞれtnでの傾き,および傾きk1でΔt秒進んだとしたときのt+Δt秒後の傾きを表す.この二つの傾きを適当に重ね合わせることによりΔtの二乗の精度にすることができる.(11)式をテーラー展開すると,λ1,λ2,α,βの間の関係式が


$\displaystyle \lambda_1+\lambda_2$ $\textstyle =$ $\displaystyle 1$ (8)
$\displaystyle \lambda_1\alpha$ $\textstyle =$ $\displaystyle {1\over 2}$ (9)
$\displaystyle \lambda_2\beta$ $\textstyle =$ $\displaystyle {1\over 2}$ (10)

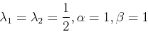
と求めることができる.求めるべき数が4つあるのに式が3つしか存在しない.なのでいろいろな値の組み合わせが


\begin{displaymath}
\lambda_1=\lambda_2={1\over 2}, \alpha=1, \beta=1
\end{displaymath} (11)


\begin{displaymath}
\lambda_1={2\over 3}, \lambda_2={1\over 3}, \alpha=\beta={3\over 2}
\end{displaymath} (12)

といったようにありうる.いずれの場合も二次の精度まで正しく計算できる.つまり一ステップの誤差はΔtの3乗に比例する. 今回は(11)式を採用し,以下の(13)-(15)式で積分を行う.


\begin{displaymath}
y_{n+1}=y_n+{f_1+f_2\over 2}
\end{displaymath} (13)


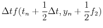
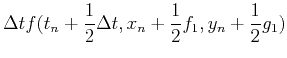
$\displaystyle f_1$ $\textstyle =$ $\displaystyle \Delta t f(t_n,y_n)$ (14)
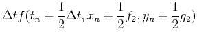
$\displaystyle f_2$ $\textstyle =$ $\displaystyle \Delta t f(t_n+\Delta t,y_n+f_1)$ (15)

練習問題2

式(13),(14),(15)を用いて先週の宿題(dy/dt=-y, t=0でy=1)をt=2まで解け.オイラー法の場合と精度を比較せよ.


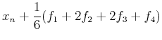
[3] ルンゲクッタ法

先ほどのアルゴリズムの誤差はΔtの二乗である.これを4乗に高めたのがルンゲクッタ法である.

さきほどと同じ考え方を使うと,ルンゲクッタ法のアルゴリズムは以下のようになる.


\begin{displaymath}
y_{n+1}=y_n+{1\over 6}({f_1+2f_2+2f_3+f_4})
\end{displaymath} (16)


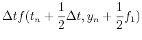
$\displaystyle f_1$ $\textstyle =$ $\displaystyle \Delta t f(t_n,y_n)$  
$\displaystyle f_2$ $\textstyle =$ $\displaystyle \Delta t f(t_n+{1\over 2}\Delta t,y_n+{1\over 2}f_1)$  
$\displaystyle f_3$ $\textstyle =$ $\displaystyle \Delta t f(t_n+{1\over 2}\Delta t,y_n+{1\over 2}f_2)$  
$\displaystyle f_4$ $\textstyle =$ $\displaystyle \Delta t f(t_n+\Delta t,y_n+f_3)$ (17)

練習問題3

式(16),(17)を用いて,ルンゲクッタ法を用いて dy/dt=-y, t=0でy=1 をt=2まで解け.3つの場合の誤差を比較せよ.


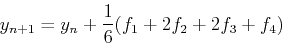
[4] 連立微分方程式

先ほどのルンゲクッタ法は多変数に拡張できる.例えば,x=x(t)とy=y(t)がそれぞれ


$\displaystyle {dy\over dt}$ $\textstyle =$ $\displaystyle f(t,y,z)$  
$\displaystyle {dz\over dt}$ $\textstyle =$ $\displaystyle g(t,y,z)$ (18)

にしたがって進化する場合は,以下のようにアルゴリズムを組めばよい.


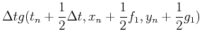
$\displaystyle y_{n+1}$ $\textstyle =$ $\displaystyle y_n+{1\over 6}(f_1+2f_2+2f_3+f_4)$  
$\displaystyle z_{n+1}$ $\textstyle =$ $\displaystyle z_n+{1\over 6}(g_1+2g_2+2g_3+g_4)$ (19)


$\displaystyle f_1$ $\textstyle =$ $\displaystyle \Delta t f(t_n,y_n,z_n)$  
$\displaystyle g_1$ $\textstyle =$ $\displaystyle \Delta t g(t_n,y_n,z_n)$ (20)


$\displaystyle f_2$ $\textstyle =$ $\displaystyle \Delta t f(t_n+{1\over 2}\Delta t,y_n
+{1\over 2}f_1,z_n+{1\over 2}g_1)$  
$\displaystyle g_2$ $\textstyle =$ $\displaystyle \Delta t g(t_n+{1\over 2}\Delta t,y_n
+{1\over 2}f_1,z_n+{1\over 2}g_1)$ (21)


$\displaystyle f_3$ $\textstyle =$ $\displaystyle \Delta t f(t_n+{1\over 2}\Delta t,y_n
+{1\over 2}f_2,z_n+{1\over 2}g_2)$  
$\displaystyle g_3$ $\textstyle =$ $\displaystyle \Delta t g(t_n+{1\over 2}\Delta t,y_n
+{1\over 2}f_2,z_n+{1\over 2}g_2)$ (22)


$\displaystyle f_4$ $\textstyle =$ $\displaystyle \Delta t f(t_n+\Delta t,y_n+f_3,z_n+g_3)$  
$\displaystyle g_4$ $\textstyle =$ $\displaystyle \Delta t g(t_n+\Delta t,y_n+f_3,z_n+g_3)$ (23)

練習問題4

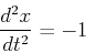
質点の投げ上げの数値シミュレーションを行う.今回解く方程式は以下の連立微分方程式となる.


\begin{displaymath}
{d^2x\over dt^2}=-g
\end{displaymath} (24)


$\displaystyle {dx\over dt}$ $\textstyle =$ $\displaystyle y$  
$\displaystyle {dy\over dt}$ $\textstyle =$ $\displaystyle -g$ (25)

式(25)で与えられる連立微分方程式を解け.t=0でx=0.D0, y=1.D0 また g=1.D0 とすること.Δt=1.D-2でt=2となるまで積分せよ.


[5] gnuplotでアニメ

gnuplotを用いて簡単なアニメーションを作ることができる.先ほどの練習問題5の結果を可視化しよう.各タイムステップにおいて

write(1,*) 0. , x 
と2つの数値を並べてファイルに書き出す.さらに,以下の内容でanim.txtというファイルを作成する.

CCCCCCCCCCCC この下からanim.txt CCCCCCCCCCCCCCCCCCC
  set xrange [-1:1]
  set yrange [0:1]

  if (n>200) exit

  plot "ファイル名" every 1:1:n:0:n:0 with points pt 7 ps 2

  pause 0.05

  n=n+1

  reread
CCCCCCCCCCCC この上までanim.txt CCCCCCCCCCCCCCCCCCC

gnuplotを起動し,以下のコマンドによってアニメーションを見ることができる.

gnuplot> n=1
gnuplot> load 'anim.txt'

プログラム中で,y=1.D0 としている箇所が初速に相当する. y=0.5D0, y=2.D0として計算をやり直し,アニメを再生してみること.


[6] 今日の宿題 (12/18日まで)

練習問題4のプログラム,および初速を3通り変えた場合のそれぞれのt=2.D0におけるx座標を送付すること.


[6] 追加の宿題 (12/18日まで)

式(26)で与えられる微分方程式を解け.t=0でx=1.D0, dx/dt=0.D0 とすること.Δt=1.D-2でt=10となるまで積分せよ.

write(1,*) t, x などとしてファイルにデータを書き出し,gnuplotを用いて横軸t, 縦軸xでグラフをかく.Aを変化させると,グラフの形状が変化する.プログラムおよびグラフの形状が変化する境界のAの値,それぞれのAの領域でのグラフの形状を記述した文章(もしくは画像)を送付すること.


\begin{displaymath}
{d^2x\over dt^2}=-Ax-2{dx\over dt}
\end{displaymath} (26)




日程表へ戻る <<