数値解析法及び演習 第七回

テスト(一回目)
それぞれの問題について, ひとつのプログラム+答えの数値を解答として提出してください. すべての解答をまとめて一つのメールにして送付してください.

第1問(8点)

縦,横に並んだ次のデータをファイルに保存し,そのデータを配列a(3), b(3)に格納せよ.

1.D0 2.D0 3.D0
4.D0
5.D0
6.D0

配列a, bを三次元空間のベクトルと見なし、内積と外積をそれぞれ求めよ.

第2問(10点)

次の行列A,行列Bをそれぞれ配列a(3,3), b(3,3)にファイルから読み込んで格納せよ.


行列A
1.D0 2.D0 3.D0
2.D0 3.D0 1.D0
3.D0 1.D0 2.D0
行列B
1.D0 2.D0 3.D0
4.D0 5.D0 6.D0
7.D0 8.D0 9.D0

配列a, bを代入すると,その積が配列cに格納されるサブルーチン product(a,b,c)を作成せよ.

第3問(8点)

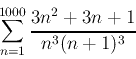
次の級数の和を求めるプログラムを作成せよ.第1000項までの和を提出すること.


\begin{displaymath}
\sum_{n=0}^{1000}{3n^2+3n+1\over n^3(n+1)^3}
\end{displaymath} (1)

第4問(8点)

自然数を与えたとき、その自然数が完全数であるかどうかを判定するプログラムを作成せよ。完全数とは、その数自身を除く約数の和が、その数自身と等しくなるような数のことである。例: 6 (=1+2+3)、28 (=1+2+4+7+14). このプログラムを用いて、10000以下の全ての完全数を求めよ。




日程表へ戻る <<